Để tối đa hóa lợi nhuận, hành vi của mọi doanh nghiệp đều giống nhau: phải cân nhắc sản lượng sao cho chi phí biên và doanh thu biên của đơn vị sản lượng cuối cùng bằng nhau, chịu ảnh hưởng từ đối thủ. Sự tương tác này tạo ra các kết quả khác nhau theo cấu trúc thị trường.
Hãy cùng Giao Dịch Tài Chính tìm hiểu cấu trúc thị trường cạnh tranh hoàn hảo và độc quyền thuần túy, nắm được hành vi doanh nghiệp để đạt được lợi nhuận hiệu quả.

I. Thị trường là gì?
Theo nghĩa rộng: Thị trường là sự biểu thị quá trình mà nhờ đó các quyết định của hộ gia đình về việc tiêu dùng các hàng hóa khác nhau, các quyết định của hãng về việc sản xuất cái gì và như thế nào, các quyết định của công nhân về làm việc bao lâu và cho ai được điều hòa bởi sự điều chỉnh giá.
Cũng có thể hiểu: Thị trường là một tập hợp các thỏa thuận mà thông qua đó người bán và người mua tác động qua lại với nhau để trao đổi một cái gì đó khan hiếm.
II. Phân loại thị trường
Các nhà kinh tế học phân loại thị trường dựa trên cấu trúc thị trường. Cấu trúc thị trường là một nhóm thị trường có đặc trưng riêng được biểu hiện thông qua:
– Số lượng và quy mô của các doanh nghiệp hoạt động trên thị trường;
– Mức độ khác biệt của sản phẩm giữa các nhà sản xuất cạnh tranh với nhau;
– Khả năng xuất hiện thêm những doanh nghiệp mới trên thị trường khi các doanh nghiệp hiện thời đang làm ăn có lãi.

Dựa trên cấu trúc thị trường, có thể phân loại thành 2 thị trường chính là cạnh tranh và độc quyền. Còn có các biến thể khác nhau như cạnh tranh hoàn hảo; cạnh tranh không hoàn hảo; độc quyền thuần túy; độc quyền tự nhiên và độc quyền nhóm.
Nội dung sau Giaodichtaichinh sẽ tập trung vào những loại thị trường phổ biến nhất hiện nay: Cạnh tranh và độc quyền – Cạnh tranh hoàn hảo, Cạnh tranh không hoàn hảo và Độc quyền thuần túy. Bởi vì hiểu về cạnh tranh hoàn hảo và độc quyền thuần túy sẽ giúp Doanh nghiệp hiểu rõ cơ chế hoạt động của thị trường. Cạnh tranh hoàn hảo mang lại hiệu quả tối ưu, trong khi độc quyền thuần túy cho thấy sự can thiệp cần thiết của nhà nước để bảo vệ lợi ích người tiêu dùng và thúc đẩy cạnh tranh.
II. Thị trường cạnh tranh hoàn hảo
1. Khái niệm
Thị trường cạnh tranh hoàn hảo là thị trường có rất nhiều người bán và sản phẩm bán ra trên thị trường giống nhau cả về tính năng kỹ thuật và dịch vụ.
2. Đặc điểm
– Ngành phải có vô số hãng, sản lượng mỗi hãng chiếm rất nhỏ trong sản lượng chung của cả ngành;
– Sản phẩm phải được tiêu chuẩn hóa: giống hệt nhau;
– Thông tin kinh tế phải là hoàn hảo, người mua và người bán đều có đầy đủ thông tin về sản phẩm;
– Các hãng được tự do gia nhập và rút lui khỏi thị trường;
– Hãng cạnh tranh hoàn hảo không áp dụng các biện pháp cạnh tranh phi giá;
– Sức mạnh thị trường của người bán bằng không.
3. Đường cầu, đường doanh thu cận biên của hãng cạnh tranh hoàn hảo
3.1. Đường cầu của hãng cạnh tranh hoàn hảo
– Hãng cạnh tranh hoàn hảo là người chấp nhận giá chứ không phải người đặt giá nên hãng cạnh tranh hoàn hảo gặp phải tình huống cầu co giãn tuyệt đối với chuỗi sản lượng mà hãng có thể cung.
– Đối với ngành – tất cả các hãng cùng sản xuất một loại sản phẩm xác định – sản lượng các lớn thì phải chấp nhận giá càng thấp nên đường cầu của ngành là đường dốc xuống từ trái qua phải.

3.2. Đường doanh thu cận biên của hãng cạnh tranh hoàn hảo
Tổng doanh thu (ký hiệu là TR) là tổng số tiền hãng nhận được từ việc bán sản phẩm. Vì hãng là người chấp nhận giá nên đường tổng doanh thu của hãng là một đường dốc lên.

Doanh thu bình quân (ký hiệu là AR) là tổng doanh thu trên đơn vị sản phẩm bán được. Vì hãng gặp đường cầu co giãn hoàn toàn nên biểu cầu của hãng là biểu doanh thu bình quân. Đường doanh thu bình quân của hãng là đường nằm ngang trùng với đường cầu của hãng.

Doanh thu cận biên (ký hiệu là MR) là doanh thu thu thêm được từ việc bán thêm một đơn vị sản phẩm. Trong cạnh tranh hoàn hảo, mỗi sản phẩm bán thêm đóng góp cho tổng doanh thu một phần đúng bằng giá. Như vậy, đường cầu trùng với đường doanh thu cận biên MR.


4. Giá, sản lượng và lợi nhuận của hãng cạnh tranh hoàn hảo
Để tối đa hoá lợi nhuận, một hãng bất kỳ sẽ sản xuất tại mức sản lượng có MR=MC. Hãng cạnh tranh hoàn hảo có P=MR, do đó hãng sẽ tối đa hoá lợi nhuận tại mức sản lượng Q* có P=MC.

Mọi mức sản lượng lớn hơn hoặc nhỏ hơn Q* đều không mang lại lợi nhuận tối đa cho hãng.

– Với mức sản lượng Q1< Q*, doanh thu biên MR của hãng lớn hơn chi phí biên MC, hãng sẽ bị mất phần lợi nhuận là diện tích EAB (S1). Đây là
phần lợi nhuận đáng lẽ hãng được hưởng nếu sản xuất ở Q*
– Với mức sản lượng Q2 > Q*, chi phí biên MC của hãng lớn hơn doanh thu biên MR, hãng bị lỗ phần diện tích EMN
(S2). Đây là phần lợi nhuận đáng lẽ hãng không bị mất nếu sản xuất ở Q*.
* Như vậy Q* là mức sản lượng mang lại lợi nhuận tối đa.
5. Điểm hoà vốn, điểm tiếp tục sản xuất, điểm đóng cửa sản xuất

+ P=ATCmin
TR=TC= Diện tích OP*EQ* do đó lợi nhuận kinh tế của hãng bằng 0, hãng hoà vốn. Khi đó, mức giá hoà vốn được xác định là giao điểm của P, MC và ATCmin.

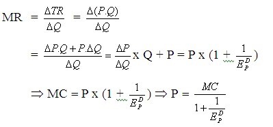
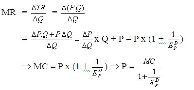
+ P TR=Diện tích OP*EQ*, TC=Diện tích OABQ* TC>TR: hãng bị lỗ một khoản P*ABE AVC=NQ* VC=diện tích OMNQ* AFC=BN FC=diện tích ABNM Nếu doanh nghiệp dừng sản xuất sẽ mất chi phí cố định FC, chính là diện tích ABNM.. Nếu hãng tiếp tục sản xuất thì hãng chịu khoản lỗ P*ABE. Diện tích ABNM > Diện tích P*ABE. Trong ngắn hạn, hãng nên tiếp tục sản xuất để bù đắp chi phí cố định. + P≤ AVCmin + P= AVCmin TR=diện tích OP*EQ*, TC=diện tích OABQ* TC>TR: hãng bị lỗ một khoản P*ABE; AVC=EQ* VC=OP*EQ* ;AFC=BE FC=P*ABE=khoản lỗ. Trong trường hợp này không có sự khác biệt giữa việc hãng tiếp tục sản xuất hay đóng cửa sản xuất. Tuy nhiên hãng có thể tiếp tục sản xuất để chờ đón cơ hội kinh doanh tốt hơn trong tương lai. Giao điểm của AVCmin, MC và P được gọi là mức giá đóng cửa. Nhận xét: + P< AVCmin : Hãng nên đóng cửa sản xuất Đường cung phản ánh mức sản lượng của doanh nghiệp tại các mức giá. Hãng cạnh tranh hoàn hảo có P=MC, do đó thông qua MC với mỗi mức giá sẽ xác định được một mức sản lượng tương ứng. Do đó MC chính là đường cung của hãng cạnh tranh hoàn hảo. Tuy nhiên hãng cạnh tranh hoàn hảo sẽ ngừng sản xuất khi P Đường cung ngắn hạn của ngành Thặng dư sản xuất của hãng là tổng tất cả các khoản chênh lệch giữa giá thị trường của sản phẩm và chi phí cận biên của tất cả các đơn vị sản phẩm mà hãng bán. Thặng dư sản xuất của hãng có thể được biểu thị bằng diện tích nằm dưới đường giá, trên đường chi phí cận biên, giữa sản lượng bằng không và sản lượng tối đa hóa lợi nhuận (hoặc tối thiểu hóa thua lỗ) của hãng. + Giá thị trường: được hình thành dựa trên quan hệ cung cầu + Giá người bán sẵn sàng bán: là mức giá tối thiểu để người bán đồng ý bán sản phẩm, chính là chi phí cận biên để sản xuất ra sản phẩm đó. – Về mặt hình học, PS là phần diện tích nằm dưới đường giá và trên đường cung vì đối với hãng CTHH, đường MC tính từ điểm AVCmin chính là đường cung của hãng. Thị trường độc quyền thuần túy là trường hợp đối lập của thị trường cạnh tranh hoàn hảo. Thị trường độc quyền thuần túy gồm có độc quyền bán và độc quyền mua. Thị trường độc quyền bán thuần túy là thị trường chỉ có duy nhất một hãng cung ứng toàn bộ sản lượng của một loại hàng hóa nào đó trên thị trường và không có hàng hóa thay thế gần gũi. Thị trường độc quyền có rào cản rất lớn về việc gia nhập hoặc rút lui khỏi thị trường. Đặc điểm của độc quyền thuần túy: + Hãng độc quyền sở hữu tài nguyên quý hiếm hoặc các tài nguyên cơ bản mà các đối thủ khác không thể tiếp cận được. + Một số lý do khác: chi phí khởi đầu lớn, rào cản tài chính, sự trung thành của khách hàng,… 2.1. Quá trình sản xuất đạt được hiệu quả kinh tế tăng theo quy mô Như đã biết, tính kinh tế của quy mô là khi tăng quy mô sản xuất thì chi phí trung bình giảm. Trên thực tế, phải là người sản xuất quy mô lớn mới gia nhập ngành được làm điều này trở nên cực kỳ khó xảy ra. Và cũng có rất ít ngành tính kinh tế của quy mô thể hiện ở tất cả các mức sản lượng có thể, đó được gọi là những ngành độc quyền tự nhiên. 2.2. Kiểm soát được các yếu tố đầu vào của quá trình sản xuất Doanh nghiệp độc quyền có thể sử dụng tài sản riêng như một biện pháp để tạo ra rào cản đối với đối thủ cạnh tranh tiềm năng. Vì vây, khi doanh nghiệp sở hữu hay kiểm soát được nguyên liệu cơ bản của quá trình sản xuất có thể ngăn cản việc tạo ra đối thủ cạnh tranh. 2.3. Bằng phát minh sáng chế Bằng phát minh sáng chế và bản quyền trao quyền kiểm soát sản phẩm hoặc công trình công nghệ cho những người phát minh ra chúng trong một khoảng thời gian xác định. Bằng phát minh sáng chế và bản quyền bảo vệ những người phát minh để sản phẩm và quy trình của họ không bị những hãng khác, những hãng không phải chịu chi phí và những nỗ lực để phát triển sản phẩm, có thể xâm phạm. 2.4. Các quy định của Chính phủ Một hãng có thể có vị trí độc quyền nhờ quy định của Chính phủ. Có những ngành có tầm quan trọng chiến lược đối với nền kinh tế hoặc vì lý do chính trị, xã hội mà Chính phủ có thể quy định là độc quyền Nhà nước. VD: Việt Nam có độc quyền về điện, đường sắt, sách giáo khoa… 3.1. Đường cầu Đường cầu về sản phẩm của doanh nghiệp cũng chính là đường cầu thị trường là một đường thẳng dốc xuống về bên phải nên hàm cầu có dạng P = aQ + b (với a < 0). Với đường cầu như vậy, nếu hãng muốn tăng sản lượng, hãng buộc phải giảm giá. 3.2. Đường doanh thu cận biên Với hàm cầu có dạng P = aQ + b, ta suy ra được hàm tổng doanh thu là TR = (P x Q) = (aQ2 + bQ), đường tổng doanh thu sẽ là một đường parabol. Vì doanh thu biên là đạo hàm của hàm tổng doanh thu nên MR = (2aQ + b), do đó đường MR là một đường thẳng dốc xuống, nằm phía dưới đường cầu và có độ dốc gấp đôi độ dốc của đường cầu. Vì vậy doanh thu biên của hãng độc quyền hoàn toàn là nhỏ hơn giá bán ở mọi mức sản lượng. Tại mức sản lượng mà TR tối đa thì MR = 0. 4.1. Tối đa hóa lợi nhuận Điều kiện lựa chọn sản lượng tối đa hóa lợi nhuận trong ngắn hạn: MR = MC * Khả năng sinh lợi của hãng độc quyền: – Hãng có lợi nhuận kinh tế dương khi P > ATC – Hãng có lợi nhuận kinh tế bằng 0 khi P = ATC – Hãng bị thua lỗ nhưng vẫn tiếp tục sản xuất khi AVC ≤ P < ATC – Hãng ngừng sản xuất khi P < AVC 4.2. Quy tắc đặt giá Hãng độc quyền để tối đa hóa lợi nhuận luôn sản xuất tại mức sản lượng mà tại đó: MR = MC KL: Hãng độc quyền luôn đặt giá cho sản phẩm của mình lớn hơn chi phí cận biên (P > MC). Thị trường độc quyền không có đường cung vì biết giá không thể xác định được sản lượng trực tiếp từ đường chi phí cận biên của nhà độc quyền. Mức sản lượng mà nhà độc quyền bán phụ thuộc vào chi phí cận biên và vào dạng của đường cầu. – Đối với hãng cạnh tranh hoàn toàn, giá bán bằng chi phí cận biên – Đối với hãng có sức mạnh độc quyền, giá bán lớn hơn chi phí biên Để đo lường sức mạnh độc quyền, chúng ta phải xem xét mức chênh lệch giữa giá bán và chi phí cận biên. Hệ số Lerner càng lớn thì sức mạnh độc quyền càng lớn Nếu đường cầu của hãng càng kém co dãn thì hãng càng có sức mạnh độc quyền và ngược lại. + Điều này không có nghĩa rằng hãng độc quyền kinh doanh tại miền cầu kém co dãn. + Hãng độc quyền luôn quyết định sản lượng ở miền cầu co dãn. Vì hãng độc quyền thuần túy luôn quyết định sản xuất ở mức giá * Độc quyền gây ra mất không cho xã hội 7.1. Phân biệt giá cấp 1 (Phân biệt giá hoàn hảo) (Phân biệt giá hoàn hảo) * Điều kiện thực hiện: – Nhà độc quyền có điều kiện tiếp xúc riêng với từng khách hàng – Sản phẩm không thể trao đi đổi lại giữa những người tiêu dùng VD: Phí tư vấn, phí dịch vụ (thu nhiều của người giàu và thu ít của người nghèo) 7.2. Phân biệt giá cấp 2 – Nhà độc quyền chia hàng hóa thành từng khối và đặt giá khác nhau cho các khối này theo nguyên tắc dùng càng nhiều càng rẻ. – Chỉ áp dụng cho trường hợp doanh nghiệp đạt được hiệu suất theo quy mô. – Cả người bán và người mua (mua nhiều) đều được lợi. 7.3. Phân biệt giá cấp 3 Nhà độc quyền đặt giá khác nhau cho các nhóm khách hàng khác nhau căn cứ vào nhu cầu của họ với sản phẩm. 7.4. Phân biệt giá theo thời kỳ – Nhà độc quyền đặt giá khác nhau cho các khách hàng căn cứ vào nhu cầu của họ về thời gian dùng sản phẩm – Đường MC song song với trục hoành 7.5. Phân biệt giá theo thời điểm – Nhà độc quyền đặt giá khác nhau cho người tiêu dùng tùy theo đó là lúc thông thường hay lúc cao điểm: đặt giá thấp lúc thông thường và đặt giá cao lúc cao điểm. – VD: Giá vé xem phim ban ngày và buổi tối, ngày thường với T7, CN, ngày lễ. 7.6. Phân biệt giá hai phần Nhà độc quyền chia phần thanh toán của khách hàng làm 2 phần: – Phí mua quyền sử dụng hàng hóa – Phí sử dụng hàng hóa VD: Vào công viên, khách hàng phải mua vé vào cửa và chơi trò chơi gì phải trả tiền cho trò chơi đó. 7.7. Bán kèm Nhà độc quyền bán kèm một hàng hóa có chất lượng tốt với một hàng hóa có chất lượng không tốt sao cho tổng giá của hai hàng hóa nhỏ hơn giá của hai thành phần. VD: Tiger Cup 98 tổ chức tại Việt Nam, BTC biết chắc chắn khán giả sẽ đến cổ vũ đội tuyển VN rất đông nhưng những trận khác thì sẽ ít. Do đó, tại vòng bảng, BTC quyết định xếp cho VN đá trận sau và bán kèm vé trận đấu trước trận VN với trận VN. Như vậy, doanh thu của BTC vừa tăng lên và khán giả đến sân cũng đông hơn. 7.8. Bán trói buộc Là hình thức bán kèm nhưng bắt buộc người tiêu dùng phải mua. VD: Điện cung cấp điện cho các hộ gia đình và bắt buộc các hộ gia đình phải dùng đồng hồ chỉ số công tơ và dây điện của hãng. — Theo Wikipedia. Kinh tế vi mô (Bộ GD-ĐT, ĐH Kinh Tế, ĐH Ngoại Thương), Samuelson & Nordhaus (Kinh tế học 1995); Mankiw GS KTH ĐH harvard (Nguyên lý kinh tế).


6. Đường cung của doanh nghiệp cạnh tranh hoàn hảo


7. Thặng dư của người sản xuất

III. Thị trường độc quyền thuần túy
1. Khái niệm
+ Các rào cản pháp lý như bản quyền, bằng sáng chế hoặc quy định của Chính phủ ngăn cản các đối thủ cạnh tranh tham gia thị trường.
+ Các yếu tố quy mô kinh tế (economies of scale) khiến cho một hãng duy nhất có thể cung cấp sản phẩm với giá thành thấp hơn các đối thủ tiềm năng.
2. Các nguyên nhân dẫn đến độc quyền
3. Đường cầu, đường doanh thu cận biên

4. Giá, sản lượng và lợi nhuận của doanh nghiệp độc quyền


5. Đường cung của doanh nghiệp độc quyền

6. Sức mạnh độc quyền




7. Phân biệt giá





